Racism in America
- Overt, animus-based racism has declined a lot

But racial inequality is still dramatic
But racial inequality is still dramatic
There is a lot of research on the causes
- Overt social, economic, and institutional racism existed until the 1960s
- Slavery, Jim Crow, Redlining, GI Bill, etc.
- This left black Americans with less wealth, worse jobs, worse schools, etc.
- Our system makes some of these inequalities self-reinforcing
Social Capital is an underappreciated cause
- Social capital is our ability to access resources through our social networks
- Social networks are highly segregated, and so even without overt racism, people of color have less access to social capital
- This can include access to mentors, jobs, etc. but also money to handle unexpected expenses or to invest in a small business
- We can see other inequalities, but social capital is often invisible
Networks matter a lot
- In the 90s, people were given vouchers to move to lower poverty areas
- Chetty at al. found that children did better as adults the longer they lived in higher income / higher mobility areas
- Why? One (the best!) explanation is that people gain greater social capital
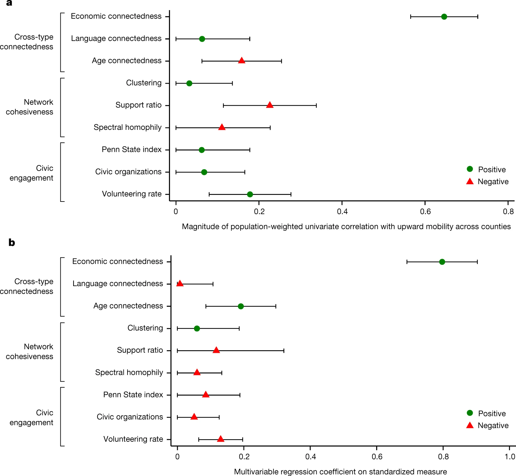
Follow up study in 2022
- Measured a few markers of social capital
- Most important predictor of upward mobility was high “economic connectedness” of where you lived
- Economic connectedness was measured as the proportion of high-income people that low-income people were connected to in the area
Follow up study in 2022
Takeaways
- Networks provide a hidden inertia to society, reproducing the world as it is
- Differences in economic capital or cultural capital are more visible
- Our achievements are partially a function of our undeserved social networks
- Worth thinking about “network equality”
Social Capital is an underappreciated cause